一、人物關系圖

二、案件事實
1、房屋情況:涉案房屋為公房,為1996年左某1、左某2的母親吳某承租的公房拆遷安置所得,原由左某1、左某2的父親左某(2011年死亡)承租。2014年,涉案房屋的承租人經協商一致變更為左某1。涉案房屋長期由左某1出租。
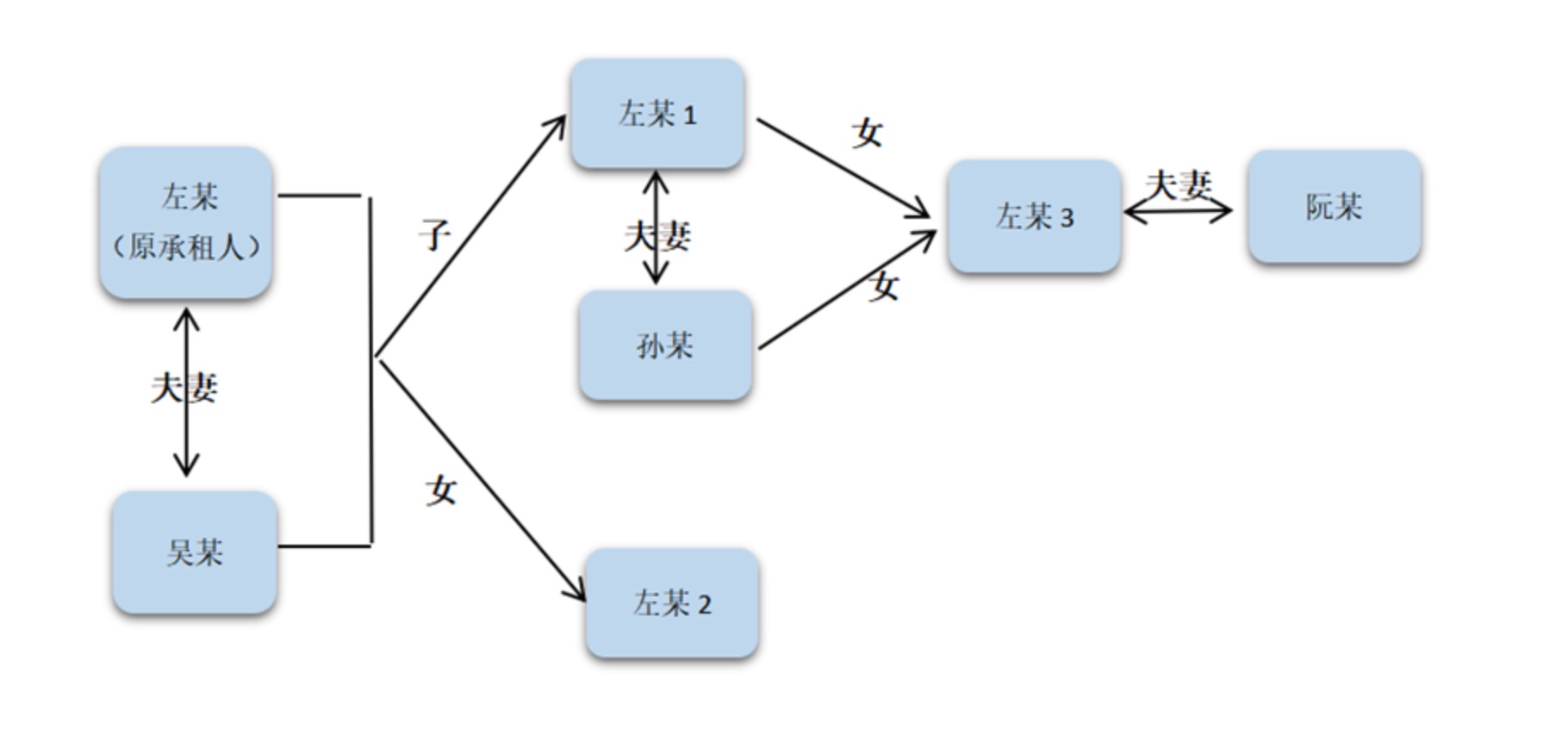
2、在冊戶籍人口情況:涉案房屋內有戶籍人口為左某1、孫某、左某3、阮某、左某2。左某1與孫某系夫妻,左某3系二人之女,阮某系左某3的丈夫,左某2系左某1的姐姐。
3、征收情況:2016年12月,涉案房屋被納入征收范圍。2017年9月,左某1與房屋征收部門簽訂《房屋征收補償協議》(以下簡稱征收協議)。按征收協議,涉案房屋建筑面積15.10平方米,價值補償款1,250,744.48元,裝潢補償7,550元;該戶選擇房屋產權調換。
4、他處福利情況:
--1998年8月,左某1承租公房拆遷,安置對象為左某1、孫某、左某3共三人,左某1、孫某、左某3共同共有該產權房屋。
--2015年6月,阮某及其父母因征收獲得三套產權調換房屋,建筑面積合計242.47平方米。
--2003年1月,左某2曾在其婆母承租的公房拆遷中獲得貨幣安置,其曾購買產權房,現已出售。
三、本案爭議焦點
左某2是否有權分得涉案房屋的征收補償利益?
四、一審法院觀點
左某1、孫某、左某3在涉案房屋被征收前戶籍在冊,但均系自他處拆遷安置房屋中遷入涉案房屋,未在涉案房屋實際居住,且享受過拆遷安置,不符合涉案房屋的共同居住人條件。阮某雖戶籍在冊,亦從未居住涉案房屋,且與涉案房屋的來源毫無關聯,不符合涉案房屋的共同居住人條件,無權分得涉案房屋的征收利益。左某2亦從未居住涉案房屋,且曾享受過公房的拆遷安置,同樣不符合涉案房屋的共同居住人條件。左某1雖于2014年經家庭協商一致成為涉案房屋的承租人,但當時左某2亦戶籍在冊,雙方與原始承租人的關系及在承租人資格繼受方面地位相同,如果僅以左某1經協商成為涉案房屋的承租人便認定全部征收利益歸其所有,無疑將導致利益失衡。因此,左某2與左某1均有權分得涉案房屋的征收利益。因涉案房屋長期由左某1出租及管理,故與搬遷相關的獎勵由左某1取得。......酌情確定產權調換房屋由左某1、左某2共同分得,左某1還應分得貨幣補償款60,000元。結合案件實際情況,因左某2分得的產權調換房屋價值超過其應分得的征收補償利益,故應承擔向征收單位支付房屋產權調換差價款及向左某1給付相應的貨幣補償款。
五、一審法院判決
--上海市XX路XX弄XX號XX室產權調換房屋由左某1、左某2按份共有,各占1/2產權份額;
--應向房屋征收部門支付的房屋產權調換差價款由左某2負擔,左某2于判決生效之日起十日內支付左某1補償款60,000元。
六、二審法院觀點
孫某方已經享受過拆遷或征收補償利益,且在其戶籍遷入系爭房屋后未實際居住,一審法院據此認定孫某方不屬于系爭房屋共同居住人,并無不妥。左某1與左某2均曾享受過拆遷安置,且在戶籍遷入系爭房屋后亦未實際居住,在左某1成為承租人之前,左某1與左某2均不符合系爭房屋共同居住人的條件。原承租人去世后,經家庭協商一致,左某1成為系爭房屋承租人。鑒于左某1與左某2原地位相仿,如僅因其中一人經協商一致成為承租人,繼而取得系爭房屋全部的征收補償利益,存在明顯利益失衡。一審法院綜合系爭房屋的來源、居住狀況、承租人變更經過及當事人他處房屋情況等因素,從平衡雙方利益出發,確定征收補償利益在左某1與左某2之間分配,亦無不妥,鑒于左某1實際管理并出租系爭房屋,一審法院認定左某1可適當多分,本院予以認同。左某1上訴以左某2不屬于共同居住人為由,主張全部征收補償利益應歸其所有,理由不能成立,本院不予支持。雖然變更承租人時,孫某、左某3的戶籍在冊,但其與原始承租人的關系及在承租人資格繼受方面與左某1、左某2地位并不相同,而阮某的戶籍系于承租人變更后遷入,在此情況下,孫某方上訴主張全部征收補償利益應由在案五位當事人均分,缺乏相應依據,本院不予采納。
七、、二審法院判決
駁回上訴,維持原判。
八、律師評析
1、本案中,雖然左某1為現承租人,其他戶籍在冊人員不符合共同居住人條件,但左某1并不能獲得全部征收補償利益。究其原因,一是左某2與左某1與原承租人關系及在承租人資格繼受方面地位相同;二是在變更承租人時,左某1與左某2協商一致后,確定左某1成為現承租人,即二人在繼受承租人資格時地位并無優先順序。若因左某1系現承租人而左某2不符合同住人條件,將全部征收補償利益全部歸左某1所有,明顯會導致利益失衡。本案體現了法院在平衡戶籍在冊人員之間分割征收補償利益方面較高的審判智慧。
2、法院在其他案件中持有上述類似觀點:
在(2018)滬0109民初2XXXX號案件中,一審法院認為: 雖然徐某戶籍在系爭房屋中,然徐某從未居住系爭房屋,......故徐某不符合系爭房屋同住人條件。同樣,王某雖戶籍在冊,亦未實際長期居住系爭房屋,其家庭享受過XX路房屋的住房福利,故王某亦不符合系爭房屋同住人條件。系爭房屋的原承租人及受配人均已去世,王某在征收前被指定為系爭房屋新的承租人,但僅具有代表該戶簽訂征收協議的職能。從承租人地位繼受的資格上看,王某與徐某并無區別。若僅以王某在征收前被確定為承租人,便認定全部征收利益歸其一人所有,將導致利益失衡。綜合考量系爭房屋的來源、各方對房屋的貢獻、居住狀況等因素,法院酌情確定徐某分得系爭房屋征收補償款1,400,000元。二審法院以(2020)滬02民終1XXXX號判決維持了一審判決。





滬公網安備 31010402007129號