一、案情簡介
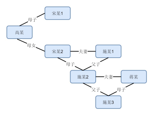
本案系爭房屋系公有租賃居住房屋,承租人為高某(本案被告)。高某系宋某2(本案原告)、宋某1(本案被告)的母親。宋某2與施某1(本案原告)系夫妻關系,施某2(本案原告)兩人之子。施某2與蔣某系(本案原告)夫妻關系,施某3(本案原告)系兩人之子。前述七人戶籍均在系爭房屋
二、人物關系圖
![]()
2016年10月29日,高某作為公房承租人與上海市楊浦區住房保障和房屋管理局(房屋征收實施單位:上海市楊浦第三房屋征收服務事務所有限公司)簽訂了《上海市國有土地上房屋征收補償協議》,協議約定該戶征收補償款2,843,950元,該戶獲得上海市松江區大官塘路XXX弄XXX號XXX室(三室一廳)、上海市松江區大官塘路XXX弄XXX號XXX室(二室一廳)、上海市松江區大官塘路XXX弄XXX號XXX室(二室一廳)三套房屋。另,該戶還獲得期房過渡費及超期交房增補費。協議明確,該戶不符合居住困難戶的條件。
后原告宋某2、施某1、施某2、蔣某、施某3與被告高某、宋某1就本案征收補償利益分配發生糾紛,原告遂訴至法院。
三、雙方觀點
原告認為,五原告均為系爭房屋的共同居住人(以下“共同居住人”與“同住人”同義),依法享有征收補償利益,應獲得故原告應訂購上海市松江區大官塘路XXX弄XXX號XXX室、XXX室兩套房屋,并獲得動遷款650,000元及其訂購兩房的期房過渡費及超期交房增補費合計248,400元。
被告方不同意原告方的訴訟請求,認為施某1、施某2對系爭房屋沒有貢獻,且施某2與蔣某的戶籍遷入系爭房屋時,大家曾口頭約定,如系爭房屋動遷,則施某2與蔣某不享受動遷利益。施某3從未在系爭房屋內居住過。故系爭房屋的動遷補償款應當由高某、宋某1、宋某2三人均分,各得947,984元;選購的三套房屋,由高某、宋某1各訂購一套二室一廳的房子,由原告宋某2、施某1、施某2、蔣某、施某3訂購一套三室一廳的房子,該房自2016年11月至2021年4月的期房過渡費151,200元同意支付給原告。
四、裁判結果
一審法院認為,本案系爭房屋為公有租賃居住房屋,承租人為高某。宋某1在系爭房屋內實際居住滿一年,應認定為同住人。根據他案民事判決書查明事實及該案中施某1、宋某2的辯稱部分,施某1、宋某2、施某2自1992年居住于寧武路XXX號倉庫內,本案審理中原告方自述2000年在外購房后,也未有在系爭房屋內居住,故難以認定施某1、施某2為系爭房屋的同住人。原告蔣某、施某3的戶籍雖在系爭房屋內,但并未實際居住,故不予認定為同住人。結合被拆遷房屋的性質和來源,住房、生活以及安置對象在動遷安置時的不同身份、實際居住情況等具體因素及當事人在本案訴訟的表態,系爭房屋獲得的動遷安置房、補償款及其他費用由高某、宋某1、宋某2三人獲得。
二審法院認為,施某1的戶籍于1994年12月遷入系爭房屋,根據他案查明事實顯示,宋某2、施某1及施某2自1992年起就居住他處,之后并無實際居住系爭房屋,由于施某1在其戶籍遷入系爭房屋后未實際居住系爭房屋,故不屬于系爭房屋同住人。即使宋某2戶所稱施某2于1992年之前曾居住系爭房屋屬實,施某2也僅在其未成年時居住,因其成年后未實際居住系爭房屋,其亦不屬于系爭房屋同住人。一審法院綜合系爭房屋的性質和來源,各當事人實際居住狀況及征收補償利益具體構成等因素,酌情確定各方當事人可分得的征收補償利益份額,所作分配已保障了各方當事人的合法權益,予以認同,遂裁定:駁回上訴,維持原判。
五、案例評析
本案中,宋某2認定為共同居住人,應無疑義,原被告雙方對此并無爭議。蔣某、施某3并未在系爭公有租賃居住房屋居住,兩人非為共同居住人,從現行法律法規之規定來看應無爭議,故本案實際的爭議焦點是施某1、施某2是否系爭公有租賃居住房屋的共同居住人。對此,我們具體分析如下:
一、關于共同居住人的相關規定
《上海市國有土地上房屋征收與補償實施細則》(以下簡稱《實施細則》)第四十四條規定,公有房屋承租人所得的貨幣補償款、產權調換房屋歸公有房屋承租人及其共同居住人所有。《實施細則》第五十一條規定,共同居住人,是指作出房屋征收決定時,在被征收房屋處具有常住戶口,并實際居住生活一年以上(特殊情況除外),且本市無其他住房或者雖有其他住房但居住困難的人。
關于上述規定中的“其他住房”,上海市高級人民法院《關于房屋征收補償利益分割民事糾紛研討會會議紀要》(滬高法民〔2020〕4號;以下簡稱《會議紀要》)第一條規定,為鼓勵居住困難的人通過自己努力改善居住條件,這里的“其他住房”應限定為福利性質的房屋,公房同住人在他處購買的商品房不屬于“他處有房”。
關于何謂“福利性質的房屋”?《會議紀要》沒有明確。根據上海市高級人民法院《關于房屋動拆遷補償款分割民事案件若干問題的解答》(滬高法民一〔2004〕3號;以下簡稱《若干問題的解答》)之規定,福利性質取得的房屋,包括原承租的公有住房、計劃經濟下分配的福利房、自己部分出資的福利房,房款的一半以上系用單位的補貼所購買的商品房,公房被拆遷后所得的安置房(包括自己少部分出資的產權安置房),以及按公房出售政策購買的產權房等。
根據上述規定,可進一步理解如下:公有租賃居住房屋的共同居住人是指
作出房屋征收決定時,在被征收房屋處具有常住戶口,并實際居住生活一年以上(特殊情況除外),且本市無福利性質的住房或者雖有福利性質的住房但居住困難的人。
作為例外情形,《若干問題的解答》第四條規定了“承租人或同住人允許他人未成年子女在自己承租的公房內居住的,一般可認定為屬于幫助性質,并不當然等于同意該未成年人取得房屋的權利份額,除非其能夠提供證據證明其居住權并非基于他人的幫助而取得;當事人對該未成年人居住的相關問題另有約定的,依約定處理”。根據前述規定,對于符合上述共同居住人標準的承租人或共同居住人以外的他人的未成年子女,不認定為共同居住人,除非其能證明非基于承租人或同住人的幫助而居住在公有租賃居住房屋、或當事人約定其為共同居住人。
二、關于施某1、施某2是否系爭公有租賃居住房屋的共同居住人
對于施某1、施某2,一、二審判決查明事實部分雖未認定施某1、施某2在1992年之前居住在系爭房屋,但從施某1、施某2與宋某1系一個家庭等情況來看,兩人在1992年之前在系爭房屋居住一年以上可資認定。根據上述規定,施某1與施某2似可認定為共同居住人,但一、二審法院均基于兩者的具體情況而未認定兩者為共同居住人,進一步分析如下:
1、 對于施某1,二審判決認為“施某1在其戶籍遷入系爭房屋后未實際居住系爭房屋,故不屬于系爭房屋同住人”。從二審判決的前述意見來看,即使曾經居住公有租賃居住房屋滿一年,但戶籍遷入公有租賃居住房屋后未再實際居住該房屋的,不能認定為共同居住人。我們認為,《若干問題的解答》第五條規定了“具有本市常住戶口,至拆遷許可證核發之日,因結婚而在被拆遷公有住房內居住的,即使居住未滿一年,也視為同住人”與“一般情況下,在本市無常住戶口,至拆遷許可證核發之日,因結婚而在被拆遷公有住房內居住滿五年的,也視為同住人”,本案中的施某1較前兩種“視為同住人”情形的人員更符合或接近共同居住人的規定要求,前述判決意見不認定施某1為共同居住人有失公允。
2、對于施某2,二審判決認為“即使宋某2戶所稱施某2于1992年之前曾居住系爭房屋屬實,施某2也僅在其未成年時居住,因其成年后未實際居住系爭房屋,其亦不屬于系爭房屋同住人”。從前述判決意見來看,對于共同居住人的子女,在未成年時居住公有租賃居住房屋但成年后未再實際居住該房屋的,不認定為共同居住人。我們認為,從《若干問題的解答》第四條來看,承租人或共同居住人的未成年子女在符合共同居住人規定要求之情形應認定為共同居住人,否則規定“承租人或同住人以外的他人未成年子女”的共同居住人認定規則將無任何意義;而前述判決意見以施某2“成年后未再居住公有租賃居住房屋”而否定其為共同居住人與前述規定相悖,頗值進一步探討。
綜上,《會議紀要》與《若干問題的解答》雖就關于共同居住人的認定要求進行了規定,但實踐中需要界定共同居住人的情形復雜多樣,個案的裁判亦有與前述規定不一致或“同案不同判”情況出現,對于解決前述問題,我們傾向于建議司法機關在處理具體案件時宜根據《最高人民法院關于統一法律適用加強類案檢索的指導意見(試行)》規定之精神做好類案檢索后以適法裁判或就實踐中復雜多樣的共同居住人爭議情形分類界定并確立相應司法規范,以實現同案同判,司法公平。





滬公網安備 31010402007129號